cat_110
病例报告|干细胞治疗老年犬免疫介导性溶血并发肝损伤

1. 基本信息

2017722日江门安德宠物医院收治一只外院转诊的13岁雌性(未绝育)西施犬,宠物主述:该宠物近两天突然出现精神不振,厌食,但未见呕吐及拉稀,饮水减少,尿色偏黄,正常免疫,驱虫,平时以狗粮为主。

 

2. 基本检查情况

体重8.1kg,可视粘膜苍白,消瘦,不愿走动,体温38.6℃,呼吸33/min,心率136/min。触诊腹腔无明显异常。

 

3.实验室诊断

x光片见脾脏肿大,其他未见明显异常。

B超见脾脏与肝脏有少量低回声小结节。

血涂片见球形红细胞,低色素性,有少量5-6红细胞凝集现象。

 

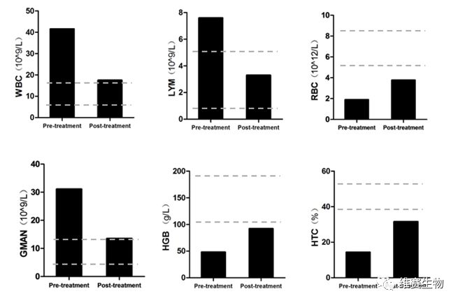
WBC   41.6*10^9/L  (6.0-17.0)

LYM    7.6*10^9/L   (0.8-5.1)

MON   2.9*10^9/L   (0.0-5.1)

GRAN  31.1*10^9/L  (4.0-12.6)

RBC    1.9*10^12/L  (5.5-8.5)

HGB    48g/L       (110-190)

HTC    14.4%       (39.0-56.0)

MCV   76.1fl        (62.0-72.0)

MCH   25.2pg       (20.0-25.0)

MCHC  333g/L       (300-380)

RDW   38.9%        (11.0-16.5)

PLT    723*10^9/L    (117-460)

 

 

血液生化指标

BUN   24.4mmol2.17-7.42

T-Bil   30umol/L<5.13

GOT   553IU/L<41)

GPT   >1000IU/L<123

LDH   368IU/L<160

CPK   1313IU/L<287

Cre    164umol/L53.06-141.5

GGT   30IU/L0-8

T-Pro  71g/L

IP     2.64mmol/L0.58-1.68

Glu    6.3mmol/L

T-Cho  7.68mmol/L

 

4. 诊断结果

免疫介导性溶血,继发或者原发急性肝损伤

 

5. 治疗方案

输血加药物治疗。

治疗处方

10.9%生理盐水  100ml   iv

输全血200ml  iv  

苯海拉明  16mg   sc 

泼尼松龙 12mg  sc 

头孢唑林  200mg sc   

复合b 2ml sc

B12  1ml sc

 

 

第二天,厌食,拉橘色尿,无大便。精神一般,粘膜颜色稍红润。

血常规指标

RBC    3.23*10^12/L  (5.5-8.5)

HGB    80g/L       (110-190)

HCT    31%       (39.0-56.0)

 

 

85号:出现沉郁,粘膜发白,虚弱  配血输血。大便正常,精神,食欲一般

治疗处方

输全血  200ml  iv 

复方盐  200ml  iv

苯海拉明 16mg sc

泼尼松龙 12mg sc

 

 

88-20号:处方如下。

用药情况:精神,食欲一般,犬状态反复异常,不稳定,大便正常,小便橘黄。

治疗处方

头孢拉啶 200mg sc  

cob2ml sc

B12 1ml  sc 

5%葡萄糖氯化钠 50ml +白蛋白5ml iv 连用5  

泼尼松龙 12mg sc

复合B   2ml   sc  

B12     1ml sc   

肝脑锭 2 po

 

822号:第三次配血输血加间充质干细胞注射液

血常规

RBC    1.28*10^12/L  (5.5-8.5)

HGB    40g/L       (110-190)

HTC    13.0%       (39.0-56.0)

 

823-24精神食欲较差,坚持用药。

825开始精神开始好转,有食欲。后精神,食欲恢复正常,

96号:血常规、血生化检查。随后开护肝药回家口服,至今回访基本正常。

血常规指标

WBC   17.5*10^9/L  (6.0-17.0)

LYM    3.3*10^9/L   (0.8-5.1)

MON   0.7*10^9/L   (0.0-5.1)

GRAN  13.5*10^9/L  (4.0-12.6)

RBC    3.77*10^12/L  (5.5-8.5)

HGB    92g/L       (110-190)

HTC    31.6%       (39.0-56.0)

MCV   84fl        (62.0-72.0)

MCH   24.4pg       (20.0-25.0)

MCHC  291g/L       (300-380)

RDW   15.1%        (11.0-16.5)

PLT    690*10^9/L    (117-460)

 

      

血液生化指标

BUN   6 mg/dL2.17-7.42

T-Bil   0.4 mg/dL0.0-0.9

GPT   329 U/L10-125

Cre    0.2 mg/dL0.5-1.8

T-Pro   61 g/L(52-82)

ALB   2.4 (2.2-3.9)

GLOB   37 (25-45)

Glu    112mg/dL70-143

ALKP  930 U/L  (23-212)


 治疗前后血常规指标变化

6. 病例小结

该病例看,该犬来我院时已表现为严重贫血和炎症,肝损伤严重,无食欲,精神沉郁,胆红素显著升高,肝功能异常,有溶血反应。所以可以判断贫血和黄疸是由于血管内急性溶血引起。无法判定肝脏受损是继发性还是原发性的。对疾病的诊断和治疗带来了更大的挑战,前期针对自身免疫介导性溶血及肝损伤进行常规治疗一个月,病情出现了三次较大的反复,分析原因可能包括犬龄较大、机体代谢,造血功能退化、肝损伤严重且原发原因不明等等,应用间充质干细胞后,病情逐步趋于稳定,与干细胞分化,免疫调节,免疫重建的功能发挥一定作用有关。

2024©维赛(佛山)生物科技有限公司 粤ICP备2023094990号-1技术支持:美站点